Omega 3 - und Omega -6 Fettsäuren
auch enthalten in Charismon®

       
                                   
 

Fette sind ein wichtiger Bestandteile unserer täglichen Nahrung. Ihre wichtigste Aufgabe ist es, gemeinsam mit den Eiweißen und Kohlenhydraten Energie zu liefern. Sie sind auch Träger der fettlöslichen Vitamine, Bau- und Schutzstoffe.

Die Fettsäuren(FS), ein wichtiger Betandteil der Fette werden in die Zellwände eingebaut und bestimmen deren Funktionsfähigkeit und Elastizität.

Außerdem entstehen aus den Fettsäuren bestimmte Signalsubstanzen, die sog. Eicosanoide, die vor allem auch das Blutkreislaufsystem beeinflussen.

Die Omega -Fettsäuren gehören zu den ungesättigten Fettsäuren
(PUFA Polyunsaturated Fatty Acids).

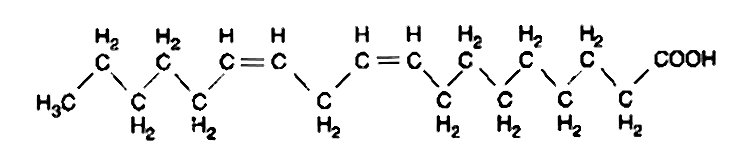
Als Klassenname dient der letzte Buchstabe des griechischen Alphabets, Omega(=w), gezählt vom Methylende der FS.
Das jeweils erste nicht komplett abgesättigte FS-Molekül ist unverrückbar positioniert.

Diese erste Doppelbindung haben Omega-FS am 3., 6. oder 9.Kohlenstoffatom(C-Atom)

Jede FS verfügt über ein bestimmtes Wirkungsspektrum, das sich aus der Position der 1. Doppelbindung der Länge der FS-Kette und der Anzahl der Doppelbindungen ergibt.


Die FS sind ambivalent, d.h. an ihrem einen Ende, dem Ende mitder Carblxylgruppe( -COOH) sind sie wasserliebend, hydrophil,
an dem gegenüberliegenden Ende mit der Methylgruppe(-CH) sind sie fettliebend, lipophil..

Die Kettenlänge der FS bestimmt die Löslichkeit:
je kürzer, desto löslicher!

Omgea-FS sind für den Menschen lebensnotwendig, essentiell , und müssen über die Nahrung aufgenommen werden.

Die Omega 3 FS kann im menschlichen Körper nicht in eine Omega 6 FS umgewandelt werden, und umgekehrt auch nicht!

Auch für die Zellmembranen der menschlichen Haut und der Schleimhäute sind die ungesättigten Omega 3- und 6-FS unbedingt notwendig. Sowohl ihre Elastizität als auch ihre Funktion im elektrischen Impulsübertragungsfeld hängen davon ab.

       
                                   
 

Linolsäure =Omega 6 FS
         
 

Charismon® enthält sowohl die

C18:2Linolsäure, Omega 6 FS

als auch die

C18:3 Linolensäure, Omega 3 FS

Die wichtigste Aufgabe der essent. FS besteht in der Prostaglandinsysnthese.

Wirkung der Omega 3- Fettsäuren, direkt oder indirekt:

- verbessern die Durchblutung

- senken den Blutdruck

- das Herzkreislaufsystem wird verbessert durch Senkung der erhöhten Triglyceride, des erhöhten Cholesterins; Vorbeugen der Arteriosklerose

- Verbesserung der Verformbarkeit der Erythrozyten (roten Blutkörperchen) und damit Verbesserung der Durchblutung

- regen die Bildung von Stiffstoffmonoxid an, einem Stoff, der die Adern erweitert.

- Omega-3 und Omega-6-FS werden zu hormonähnlichen Verbindungen, den Prostaglandinen PGE 3 und PGE 2


- halten das Blut flüssig:
aus Omega-4 FS hergestellte sog.
Eicosanoide
- verringern die Zusammenballung der Blutplättchen und verhindern die Bildung von Blutgerinnseln (Thromben in den Blutgefäßen)

- die Eicosanoide wirken auch entzündungshemmend z.B. bei Gicht, rheumatoider Arthritis, Rheuma, Psoriasis(Schuppenflechte), Neurodermitis

- sie helfen auch bei entzündlichen Darmerkrankungen
(Colitis ulcerose, Morb. Crohn)

Die Eicosanoide sind beteiligt an

- der Regulierung der Lipolyse
- der Auflösung von Entzündungsporzessen
- der Regulierung des Ionentransports durch die Zellmembranen
- damit auf die Zellmembran mit starker Auswirkung auf die Zellfähigkeit, elektr. Impulse zu transportieren
- der Modulierung des synaptischen Potentials
- der Auslösung der Blutgerinnungsprozesse

- der Regulierung des Schlaf/Wachzyklus
- der Steuerung verschiedener Fortplanzungsprozesse
- der Regulierung der Cholesterinsynthese
- Verbesserung der Infektanfälligkeit

- Feineinstellung der Stimmung

- Einfluss auf das Gedächtnis und die Gefühle

- altersbedingten Sehverlust

- Gehirntätigkeit

- Gehirn- und Sehfähigkeit der Kleinkinder

- Wachstum

 

Die Gruppe der Eicosanoide umfasst:

- Prostaglandine
- Leukttriene
- Thromboxane
- Prostagzykline

 
     
   

Vorkommen:

Omega 3-FS
(wichtigster Vertreter ist: Linolensäure)

- Eiöl
- Leinöl
- Sojaöl
- Leinsamenöl
- Walnußöl
- neues Rapsöl
- Makrelen, Hering, Lachs, Forelle

Vorkommen:

Omega 6 FS:
(wichtigster Vertreter ist: Linolsäure)
- Eiöl
- Leinöl
- Sojaöl
- Sonnenblumenöl
- Weizenkeimöl
- Maisöl
- Margarine, Butter

     
                         
       

Niedriger Omega3-FS-Spiegel führt zu Serotoninmangel.
Dies kann depressive Störungen hervorrufen!

Omega3-FS Gabe kann also stimmungsaufhellend und aggressionsmindernd wirken!
(Studie Harvard Klinik, McLean Hospital):

Studie mit Gefangenen: Die Gewalttätigkeit ging durch vermehrte Gabe von Omega 3 FS bis zu 40 % zurück !

       
                       
         
                   
    Charismon® hilft mit!